Si es té en compte que entre les empreses públiques o els organismes dependents del Govern per al seu finançament es volen aplicar reduccions salarials els propers set mesos per aquells que percebin un salari superior als 4.000 euros mensuals, els afectats haurien de ser, segons la documentació a la qual ha tingut accés l’Altaveu, 37 persones. La informació facilitada als parlamentaris i altres persones intervinents en l’elaboració de la llei esmentada inclou també altres càrrecs de confiança en parapúbliques o similars però no arriben al llindar esmentat. Els alts càrrecs a Govern sotmesos a la tisorada, cobrin el que cobrin, són 51.
En les franges que s’han elaborat -el Partit Socialdemòcrata (PS), per exemple, va demanar tots els sous individualitzat per categoria encara que anònims però l’executiu hauria optat per fer mitjanes agrupant càrrecs assimilables- apareixen onze càrrecs, entre les parapúbliques i organismes controlats d’una manera o altra pel Govern que perceben més de 6.000 euros bruts el mes. En concret són els màxims responsables de l’Autoritat Financera Andorrana (AFA), el Servei Andorrà d’Atenció Sanitària (SAAS), l’Agència estatal de Resolució d’Entitats Bancàries (AREB), la Caixa Andorrana de la Seguretat Social (CASS), Andorra Telecom, la UIFAnd, Andorra Turisme, FEDA, Ud’A, Actua i l’Institut d’Estudis Andorrana costen cada mes a l’erari públic 109.064,02 euros.
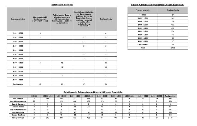
Això vol dir que de mitjana perceben 9.914,91 euros. De ben segur, segons diverses fonts, si aquesta agrupació d’onze càrrecs s’individualitzés hi hauria més d’un que s’acostaria als 6.000 euros pelats i algun altre de puntual que aniria més enllà dels 15.000 euros. Aquest detall, però, no s’ha facilitat. De totes les dades recopilades queda clar també que dels alts càrrecs lligats directament al Govern hi ha un càrrec de relació especial que cobra entre 9.000 i 9.500 euros mentre que el màxim responsable de l’executiu té el salari brut situat entre els 6.500 i els 7.000 euros. La interventora general el segueix amb una remuneració que va dels 6.000 als 6.500 euros.
La immensa majoria dels salaris de secretaris d’Estat, secretària general, cap de protocol o cap de gabinet, en total 27 persones, tenen el seu salari fixat entre els 5.000 i els 6.000 euros mentre que hi ha quatre ambaixadors residents que tenen la remuneració situada entre els 5.000 i els 5.500 euros. D’alts càrrecs directament vinculats al Govern n’hi ha 51, 17 dels quals cobren entre 1.000 i 4.500 euros mentre 31 tenen el seu salari situat entre els 5.000 i els 6.000 euros. De fet, el fet que en aquesta franja hi hagi tots els secretaris d’Estat o càrrecs equivalents ja dóna cos al volum esmentat.

Tornant a les parapúbliques o agències o organismes de control públic, hi ha cinc càrrecs (director general d’RTVA, director del CRAJ, gerent de Museand, directora del Fons de Reserva de jubilació i gerent de Ctrsa) que tenen el salari situat entre els 5.000 i els 6.000 euros. Cobren de mitjana 5.673,03 euros -sempre en salari brut- i en conjunt costen a l’Estat 28.365,17 euros. Entre 4.000 i 5.000 euros cal situar-hi el gerent de la Fundació Cimera Iberoamericana i els directors de l’EFPEM i Actua Tech. Entre els tres suposen una despesa mensual de 12.353,70 euros. Per tant, 4.117,90 euros de mitjana.
Deixant a banda els màxims responsables, és a dir, els directors generals d’Andorra Telecom, de FEDA i del SAAS, les persones que integren les respectives cúpules d'aquestes trees parapúbliques sumen cada mes una despesa per a les arques públiques d’uns 110.000 euros mensuals repartits entre 18 persones. El segon nivell d’Andorra Telecom després de la direcció general (directors adjunt i executius) perceben 6.858,91 euros bruts. Al SAAS, el director assistencial, l’econòmic i de recursos generals, i el d’infermeria reben de mitjana 8.463,96 euros, mentre els nou càrrecs que hi ha rere el director general de FEDA cobren de mitjana mensual bruta 4.769,07 euros.
El funcionariat
Les dades facilitades per tenir una visió analítica alhora d’elaborar la llei de retallades salarials inclou també informació remuneratòria dels funcionaris. En aquest cas, però, almenys per ara, no hi ha prevista cap tisorada. En conjunt hi ha 2.470 treballadors de l’administració general i els cossos especials. Hi ha 27 treballadors públics que cobren menys de 1.000 euros, la immensa majoria dels quals integrants d’ensenyament. Un de cada tres funcionaris cobren, bruts, entre 2.000 i 2.500 euros el mes. Si s’amplia la forquilla, dos de cada tres treballadors públics percebrien un salari d’entre 2.000 i 3.500 euros.
Hi ha 24 persones que cobren entre 5.000 i 10.000 euros, la majoria dels quals (19) són integrants del cos general i quatre més són els quatre directors de la policia. En aquest cos, hi ha gairebé un terç dels funcionaris (71 de 250) que cobren més de 3.500 euros. Proporcionalment, és al cos general i segurament de manera sorprenent al món de l’educació on es troben el gros dels salaris més baixos, per molt repartit que estigui. Cert és, però, que en aquesta graella no s’hi inclou, per exemple, la remuneració que perceben els sanitaris.








Comentaris (47)