
Día 88
¡Buenos días cuaderno!

Justo el día 9 de junio, cuando la OMS, WHO por sus siglas en inglés, advierte que la situación, respecto al Coronavirus, "está empeorando" en todo el mundo..., en nuestro peís, a los herederos del Govern dels millors, no se les ocurre otra que el "levantamiento parcial de la emergencia sanitaria".

Justo apenas unos días después que un informe de Forbes, el informe es de 3 de junio, nos haya situado como peís en el puesto 79, ocupando el puesto 39 sobre 43 en Europa..., en nuestro peís, a los herederos del Govern dels millors, no se les ocurre otra que el "levantamiento parcial de la emergencia sanitaria".

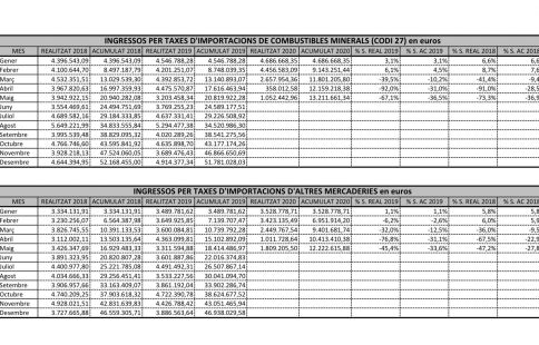
Justo el día en el que se hace publico que los "ingresos por tasas de importaciones de otras mercancías", en el mes de mayo, solo ha caído un 45,4%, ya me explicará alguno de ustedes cómo se come dicha cifra cuando todas las tiendas, con excepción de las farmacias, gasolineras y supermercados, han estado cerradas..., en nuestro peís, a los herederos del Govern dels millors, no se les ocurre otra que el "levantamiento parcial de la emergencia sanitaria".

Y justo en el día en el que a los herederos del Govern dels millors no se les ocurre otra que el "levantamiento parcial de la emergencia sanitaria", nos enteramos que van a seguir pagando "justos por pecadores". Y van a seguir pagando "justos por pecadores", porque resulta que a las empresas que tienen "deudas con la administración", creo que son unas 200, no se les va a aplicar los ERTOs, castigando de ésta peculiar manera, y a ojo de buen cubero, a unos 1.100 trabajadores, que ya me explicarán que culpa tienen ellos de las deudas de sus empresas. ¡¡Alucinante!!

Y si el GRAN Julius Henry Marx, más conocido como Groucho Marx, dijo que "militar" e "inteligencia" eran "dos términos contradictorios", no seré yo el que le contradiga, ni mucho menos el que "califique" las actuaciones contradictorias de los herederos del Govern dels millors.

Bastante tengo ya con tener que soportar todas y cada una de las memeces que se dicen sobre mi persona, simplemente por el hecho de pensar diferente y hacerlo, tan solo en una pequeña parte, en voz alta.

Intentar ser uno mismo, pensar por uno mismo y llegar a mis propias conclusiones, es lo que tiene. Incluso a la gente que todas y cada una de mis acciones les pueden beneficiar..., son los primeros en ponerme a caldo. Eso sí, cuando a alguno de ellos se ve acorralado por nuestra "justicia", ésa "justicia" tan "injusta", y les afecta a ellos, no dudan en contactarme para que dé la cara por ellos. ¡¡Paradójico!!

La pobreza en la cabeza no sirve absolutamente para nada, háganme caso. El egoismo, aún menos. Y el mundo seguirá siendo ése lugar tan terriblemente asqueroso que TODOS conocemos, y padecemos, mientras haya tanta y tanta gente que "creen" ser el ombligo del mundo.

La crisis del Coronavirus ha llegado para instalarse entre nosotros. Y mientras no exista "la vacuna", y eso no va a llegar en el corto plazo, si no se aplican TODAS y cada una de las medidas que haya que aplicar, van a haber rebrotes, y rebrotes, y más rebrotes.

Y como quiera que existe ése refrán que dice que "al mal tiempo, buena cara", decirles que les pese a quiénes les pese, y mientras miss más que menguadas fuerzas me sigan acompañando, seguiré escribiendo sobre TODAS y cada una de sus divinas y excelsas actuaciones, ya que muchas de ellas son "pa' mear y no echar gota".

Todos los 10 de junio son días demasiado tristes para mí, desde aquel sábado desdichado de 1.978. Y hoy no es menos. ¡¡Se te quiere!!
Intenten ser felices.







Comentaris